首页
双色球
开奖公告
双色球预测
双色球字图谜
双色球条件
双色球技巧
专家推荐
更多
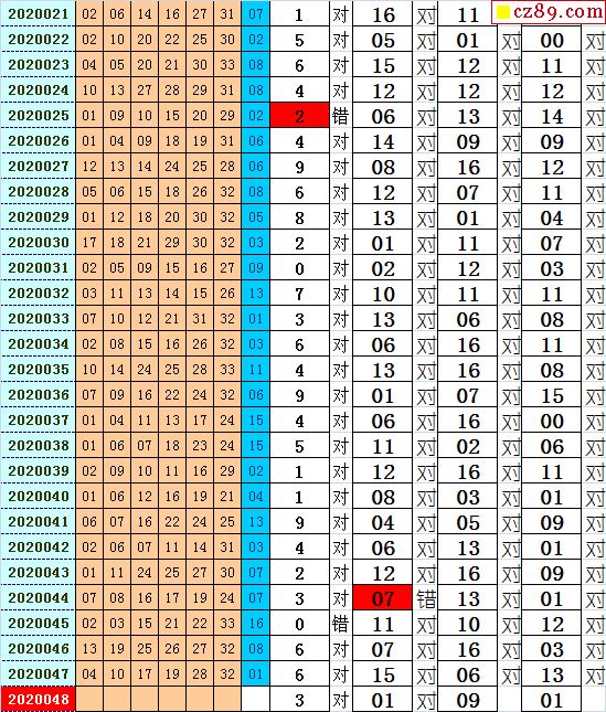
双色球2020048期 飞向阳光杀蓝表
杀蓝:
杀红
杀蓝
发布时间:
2020-06-09 07:44
相 关:
双色球开奖
双色球历史开奖
阳光探码
走 势:
出号走势图
红球走势
蓝球走势
热门文章
更多热门杀蓝 >>
最新文章
双色球2026037期萌帅帅杀蓝
双色球2026037期圆圆杀蓝
双色球2026037期情人杀蓝
双色球2026037期处暑杀蓝
双色球2026037期期期都买杀蓝
双色球2026037期三六零杀蓝
双色球2026037期钱王杀蓝
双色球2026037期彩民乐杀蓝
更多最新杀蓝 >>
福彩3D
双色球
大乐透
排列三
更多
3D预测
3D图谜
3D字谜
太湖字谜
3D条件
3D技巧
3D图库
试机号
七星彩
七乐彩
菜单导航
关闭
福彩3D
3D预测
3D图谜
3D字谜
太湖字谜
3D条件
3D技巧
3D图库
玩法
术语
3D走势
推荐专家
体彩P3
P3预测
P3图谜
P3字谜
P3条件
P3技巧
P3走势
推荐专家
双色球
双色球预测
字/图谜
双色球条件
双色球技巧
双色球走势
推荐专家
大乐透
大乐透预测
大乐透技巧
大乐透走势
推荐专家
七星彩
七星彩预测
七星彩技巧
七星彩走势
推荐专家
七乐彩
七乐彩预测
七乐彩技巧
七乐彩走势
推荐专家